基本信息:
中文名稱 2-氨基-2-乙基-1,3-丙二醇
中文別名 氨乙基丙二醇;2-氨基-2-乙基-1,3丙二醇(AEPD);2-胺-2-乙-1,3-丙二醇;2-氨基-2-乙基-1,3一丙二醇;
英文名稱 2-Amino-2-ethyl-1,3-propanediol
英文別名 2-amino-2-ethylpropane-1,3-diol;2-Amino-2-ethylpropane-1,3-diol;
CAS號(hào) 115-70-8
合成路線:
1.通過(guò)2-乙基-2-硝基-1,3-丙二醇合成2-氨基-2-乙基-1,3-丙二醇

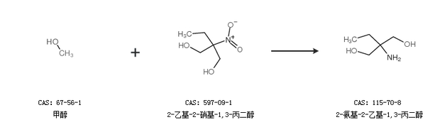
2.通過(guò)甲醇和2-乙基-2-硝基-1,3-丙二醇合成2-氨基-2-乙基-1,3-丙二醇

中華試劑網(wǎng)提醒:合成路線僅供參考