基本信息:
中文名稱 高氯酸四乙基銨
中文別名 四乙基高氯酸銨;
英文名稱 tetraethylazanium,perchlorate
英文別名 Et4N(perchlorate);TetraethylaMMoniuM Perchlorate;Ethanaminium,N,N,N-triethyl-,perchlorate;tetraethylammonium,perchlorate;tetraethylazanium perchlorate;
CAS號 2567-83-1
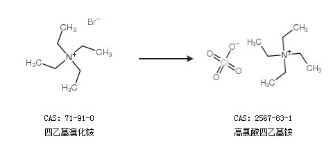
合成路線:
1.通過四乙基氯化銨合成高氯酸四乙基銨

2.通過四乙基溴化銨合成高氯酸四乙基銨

合成路線僅供參考