基本信息:
中文名稱 2-羥基膦酰基乙酸
中文別名 正己基磷酸;P-己基磷酸;
英文名稱 N-HEXYLPHOSPHONIC ACID
英文別名 hexyl-phosphonic acid;Hexyl-phosphonsaeure;Hexylphosphonic acid;hexanephosphonic acid;n-Hexylphosphonic acid,,min.;1-Hexylphosphonic acid;
CAS號(hào) 4721-24-8
合成路線:
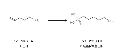
1.通過(guò)1-己烯合成2-羥基膦?;宜?br>

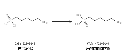
2.通過(guò)己二氯化膦合成2-羥基膦?;宜?br>

中華試劑網(wǎng)提醒:合成路線僅供參考