基本信息:
中文名稱 地塞米松
中文別名 (11β,16α)-9-Fluoro-11,17,21-trihydroxy-16-methylpregna-1,4-diene-3,20-dione;(11β,16α)-9-Fluoro-11,17,21-trihydroxy-16-methylp;氟美松;9Α-氟-16Α-甲基氫化潑尼松;
英文名稱 dexamethasone
英文別名 Dexamethasone;Hl-dex;Dezone;mk125;DXM;Dexa;Dexone;Corson;Auxiron;Dxms;9a-fluoro-16a-methylprednisolone;
CAS號(hào) 50-02-2
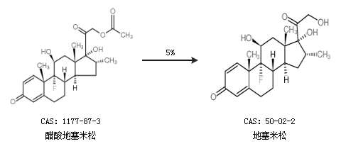
合成路線:
1.通過(guò)醋酸地塞米松合成地塞米松,收率約5%;

合成路線僅供參考