基本信息:
中文名稱 D-(-)-果糖
中文別名 D-左旋糖;低聚果糖;果糖 D-果糖 左旋糖 BETA-D-果糖;D-果糖;D-果糖;果糖;
英文名稱 D-fructofuranose
英文別名 1,3,4,5,6-pentahydroxyl-2-hexanone;fructosteril;Frutabs;laevosan;keto D-fructose;laevoral;Fruit sugar;fructose powder;levugen;D(-)-Fructose;
CAS號(hào) 57-48-7
合成路線:
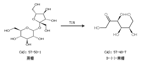
1.通過蔗糖合成D-(-)-果糖,收率約71%;

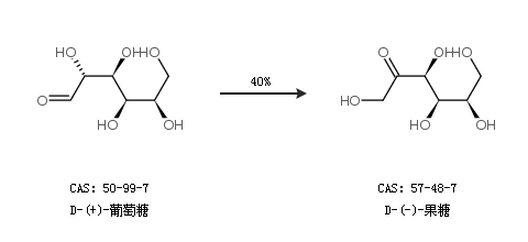
2.通過D-(+)-葡萄糖合成D-(-)-果糖,收率約40%;

合成路線僅供參考