基本信息:
中文名稱 β-環(huán)糊精
中文別名 beta-環(huán)糊精,B-環(huán)糊精;Beta-環(huán)狀糊精;β-環(huán)狀糊精;Beta-環(huán)糊精;倍他環(huán)糊精、環(huán)七糖、環(huán)麥芽七糖;β-Cyclodextrin;
英文名稱 β-cyclodextrin
英文別名 Cycloglucans;Cvclodextrin;betadex;CARAWAY;cyclomaltoheptaose;Klep;beta-cycloamylose;beta-Cyclodextrin hydrate;Cycloheptaglucosan;FEMA 4028;cycloheptaamylose;BW 7;beta-cyclodextrin;Celdex N;CavaMax W 7;Caraway;
CAS號 7585-39-9
合成路線:
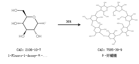
1.通過1-Fluoro-1-deoxy-α-D-glucose合成β-環(huán)糊精,收率約36%;

2.通過單-6-O-(對甲苯磺酰基)-β-環(huán)糊精合成β-環(huán)糊精,收率約30%;

合成路線僅供參考