基本信息:
中文名稱 1-丁基-1-甲基吡咯烷溴化物
中文別名 1-丁基-1-甲基吡溴化咯烷鎓;1-丁基-1-甲基溴化吡咯烷;
英文名稱 1-Butyl-1-Methylpyrrolidinium Bromide
英文別名 1-butyl-1-methylpyrrolidin-1-ium,bromide;
CAS號 93457-69-3
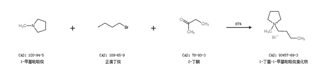
合成路線:
1.通過1-甲基吡咯烷和正溴丁烷合成1-丁基-1-甲基吡咯烷溴化物,收率約99%;

2.通過1-甲基吡咯烷、正溴丁烷和2-丁酮合成1-丁基-1-甲基吡咯烷溴化物,收率約87%;

合成路線僅供參考