基本信息:
中文名稱 2''-脫氧胞嘧啶核苷
中文別名 2''-脫氧胞苷,鹽酸;2''-脫氧胞苷;2''-脫氧胞苷一水合物;2’-脫氧胞苷;2''-脫氧胞苷,一水;2’-脫氧胞嘧啶核苷一水合物;2-脫氧胞嘧啶核苷;
英文名稱 2''-deoxycytidine
英文別名 2''-Deoxycytidine monohydrate;2‘-Deoxycytidine;
CAS號(hào) 951-77-9
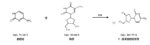
合成路線:
1.通過胞嘧啶和胸苷合成2''-脫氧胞嘧啶核苷,收率約50%;

2.通過2''-脫氧胞苷鹽酸鹽合成2''-脫氧胞嘧啶核苷,收率約97%;

合成路線僅供參考