基本信息:
中文名稱 丙戊酸
中文別名 2-丙基戊酸;2-正丙基正戊酸;2,2-二-正丙基乙酸;A-丙基戊酸;α-丙基戊酸;二丙基乙酸;2,2-二正丙基乙酸;
英文名稱 valproic acid
英文別名 Convulex;Valproate;2,2-BIS(TRIFLUOROMETHYL)PROPIONIC ACID;di-n-propyl-acetic acid;Ergenyl;2-propyl-pentanoic acid;Dipropylacetic acid;[14C]-Valproic acid;VALPROIC ACID;Depakine;Depakene;2-Propylvaleric acid;[3H]-Valproic acid;Mylproin;sodium valproate;2-Propylpentanoic acid;
CAS號 99-66-1
合成路線:
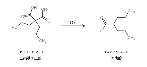
1.通過二丙基丙二酸合成丙戊酸,收率約99%;

2.通過乙酰乙酸乙酯和溴代正丙烷合成丙戊酸

中華試劑網(wǎng)提醒:合成路線僅供參考