基本信息:
中文名稱 N-乙酰-D-甘露糖胺
英文名稱 aldehydo-N-acetyl-D-mannosamine
英文別名 GalNAc-ol;2-acetamido-2-deoxy-D-mannose;2-acetamido-2-deoxy-galactose;2-Acetamido-2-deoxy-D-galactitol;D-GalNAc-ol;2-acetamido-2-deoxygalactitol;2-Acetamido-2-deoxy-D-mannopyranose Monohydrate;2-acetamido-2-deoxy-D-galacitol;HPG-Beta2-N1;N-acetyl-galactosaminitol;N-((2S,3R,4S,5R)-3,4,5,6-Tetrahydroxy-1-oxohexan-2-yl)acetamide;N-Acetyl-D-mannosamine Monohydrate;N-Acetyl-D-galactosaminitol;2-acetamido-2-deoxy-D-galacticol;
CAS號(hào) 3615-17-6
合成路線:
1.通過吡啶、N-乙酰-D-氨基葡萄糖和醋酸鎳合成N-乙酰-D-甘露糖胺

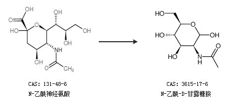
2.通過N-乙酰神經(jīng)氨酸合成N-乙酰-D-甘露糖胺

中華試劑網(wǎng)提醒:合成路線僅供參考