基本信息:
中文名稱 (S)-3-異丙基-2,5-哌嗪二酮
中文別名 環(huán)(纈氨酰-甘氨酰);(s)-3-異丙基-哌嗪-2,5-二酮;(S)-3-異丙基-哌嗪-2,6-二酮;
英文名稱 (3S)-3-propan-2-ylpiperazine-2,5-dione
英文別名 (2S)-isopropylpiperazine-3,6-dione;(2S)-isopropyl-2,5-diketopiperazine;(S)-3-Isopropyl-2,5-piperazinedione;(S)-3-Isopropylpiperazine-2,5-dione;cyclo(Val-Gly);(S)-3-isopropylpiperazine-2,5-dione;(3S)-isopropylpiperazine-2,5-dione;(S)-3-(1-methylethyl)piperazine-2,5-dione;(3s)-3-isopropylpiperazine-2,5-dione;cyclo-[Gly-(L)-Val];
CAS號(hào) 16944-60-8
合成路線:
1.通過甘氨酰-L-纈氨酸合成(S)-3-異丙基-2,5-哌嗪二酮,收率約83%;

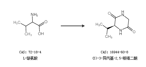
2.通過L-纈氨酸合成(S)-3-異丙基-2,5-哌嗪二酮

中華試劑網(wǎng)提醒:合成路線僅供參考