基本信息:
中文名稱 釹(III)草酸酯水合物
英文名稱 NEODYMIUM OXALATE HYDRATE
英文別名 NEODYMIUM(III) OXALATE HYDRATE;Oxalsaeure,Neodymoxalat;Neodymiumoxalatehydrate;neodymium(III) oxalate decahydrate;oxalic acid,neodymium oxalate;NEODYMIUM(III) OXALATE HYDRATE,99.;Nd(III)-oxalate decahydrate;
CAS號 28877-87-4
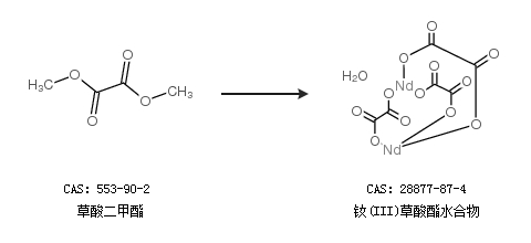
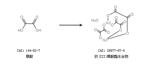
合成路線:
1.通過草酸二甲酯合成釹(III)草酸酯水合物

2.通過草酸合成釹(III)草酸酯水合物

合成路線僅供參考