基本信息:
中文名稱 2-氯-5-甲氧基嘧啶
英文名稱 2-CHLORO-5-METHOXYPYRIMIDINE
英文別名 5-Methoxy-2-chlor-pyrimidin;2-Chlor-5-methoxy-pyrimidin;2-chlor-5-methoxy-pyrimidine;5-methoxy-2-chloropyrimidine;2-chloro-5-methoxy-pyrimidine;Pyrimidine,2-chloro-5-methoxy;2-Chloro-5-Methoxypyrimidine;
CAS號 22536-65-8
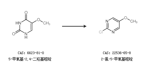
合成路線:
1.通過5-甲氧基-2,4-二羥基嘧啶合成2-氯-5-甲氧基嘧啶

合成路線僅供參考