基本信息:
中文名稱 6-溴-2-苯并噁唑酮
中文別名 6-溴-苯并惡唑酮;6-溴-2(3H)-苯并噁唑酮;
英文名稱 cincreasin
英文別名 ;6-bromobenzo[d]oxazol-2(3H)-one;6-Bromo-2(3H)-benzoxazolone;6-bromo-3H-1,3-benzoxazol-2-one;6-Bromobenzoksazolinon-2 [Polish];6-bromo-3H-benzoxazol-2-one;6-bromo-2(3H)-benzoxazolone;6-Bromo-2-benzoxazolinone;6-bromo-1,3-benzoxazol-2(3H)-one;6-bromobenzoxazolinone;6-Bromo-3H-benzooxazol-2-one;2-BENZOXAZOLINONE,6-BROMO;6-Bromo-2-benzoxazolone;2(3H)-Benzoxazolone,6-bromo;
CAS號 19932-85-5
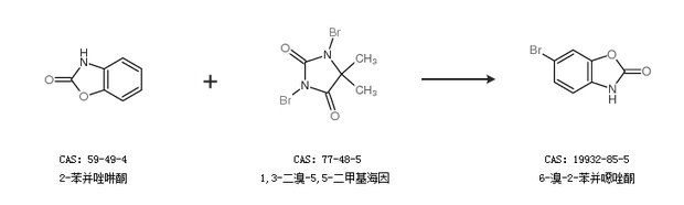
合成路線:
1.通過2-苯并唑啉酮合成6-溴-2-苯并噁唑酮,收率約91%;

2.通過2-苯并唑啉酮和1,3-二溴-5,5-二甲基海因合成6-溴-2-苯并噁唑酮

合成路線僅供參考