基本信息:
中文名稱 4-(4-溴苯基)-2-噻唑羧酸
英文名稱 4-(4-bromophenyl)-1,3-thiazole-2-carboxylic acid
英文別名 4-(4-Bromophenyl)thiazole-2-carboxylicAcid;4-(4-BROMOPHENYL)-2-THIAZOLECARBOXYLIC ACID;
CAS號 886366-94-5
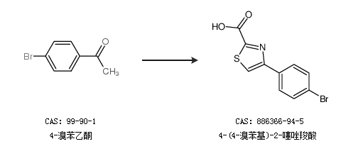
合成路線:
1.通過4-溴苯乙酮合成4-(4-溴苯基)-2-噻唑羧酸

2.通過4-(4-溴苯基)-2-噻唑羧酸乙酯合成4-(4-溴苯基)-2-噻唑羧酸

合成路線僅供參考