基本信息:
中文名稱 N-[4-(3-氨基苯基)-2-噻唑基]乙酰胺
中文別名 N-[4-(3-氨基苯基)-2-噻唑]乙酰胺;
英文名稱 N-[4-(3-Aminophenyl)-2-thiazolyl]acetamide
英文別名 N-[4-(3-Aminophenyl)-1,3-thiazol-2-yl]acetamide;
CAS號 134812-30-9
合成路線:
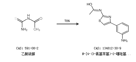
1.通過乙酰硫脲合成N-[4-(3-氨基苯基)-2-噻唑基]乙酰胺,收率約78%;

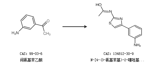
2.通過間氨基苯乙酮合成N-[4-(3-氨基苯基)-2-噻唑基]乙酰胺

合成路線僅供參考