基本信息:
中文名稱 6-氯吡嗪-2-羧酸
中文別名 6-氯吡嗪-2-甲酸;6-氯吡嗪-2-甲酸;2-氯吡嗪-6-羧酸;
英文名稱 6-chloropyrazine-2-carboxylic acid
英文別名 6-chloro-2-pyrazinoic acid;6-Chloropyrazine-2-carboxylic Acid;2-Carboxy-6-chloropyrazine;6-Chloro-pyrazine-2-carboxylic acid;6-chloro-2-pyrazinecarboxylic acid;6-chloro-pyrazine carboxylic acid;2-chloro-6-carboxypyrazine;
CAS號 23688-89-3
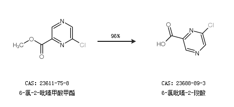
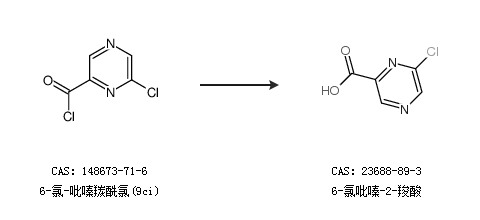
合成路線:
1.通過6-氯-2-吡嗪甲酸甲酯合成6-氯吡嗪-2-羧酸,收率約96%;

2.通過6-氯-吡嗪羰酰氯(9ci)合成6-氯吡嗪-2-羧酸

合成路線僅供參考