基本信息:
中文名稱 4-噻唑乙酸
中文別名 2-(4-噻唑基)乙酸;
英文名稱 2-(1,3-thiazol-4-yl)acetic acid
英文別名 4-Thiazoleacetic acid;1,3-Thiazole-4-ylacetic acid;4-thiazolylacetic acid;thiazol-4-yl-acetic acid;Thiazol-4-yl-essigsaeure;
CAS號 7504-44-1
合成路線:
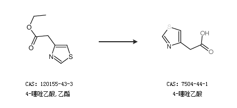
1.通過4-噻唑乙酸,乙酯合成4-噻唑乙酸

2.通過2-氨基-4-噻唑乙酸乙酯合成4-噻唑乙酸

中華試劑網(wǎng)提醒:合成路線僅供參考