基本信息:
中文名稱 3,6-二溴-9-正辛基咔唑
中文別名 3,6-二溴-9-辛基-9h-咔唑;
英文名稱 3,6-Dibromo-9-<i>n</i>-octylcarbazole
英文別名 3,6-dibromo-9-octylcarbazole;
CAS號(hào) 79554-93-1
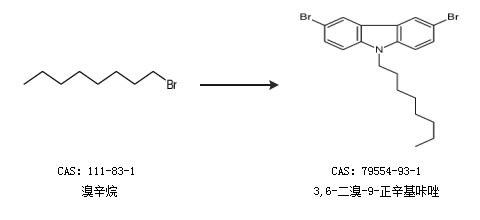
合成路線:
1.通過(guò)3,6-二溴咔唑和溴辛烷合成3,6-二溴-9-正辛基咔唑,收率約99%;

2.通過(guò)溴辛烷合成3,6-二溴-9-正辛基咔唑

中華試劑網(wǎng)提醒:合成路線僅供參考