基本信息:
中文名稱 (S)-4-(4-氨基芐基)-1,3-噁唑烷-2-酮
中文別名 (S)-4-(4-氨基芐基)-2-噁唑烷酮;(S)-4-(4-氨基芐基)-1,3-唑烷-2-酮;(4S)-4-[(4-氨基苯基)甲基]-2-惡唑烷酮;(S)-4-(4-氨基芐基)-1,3-唑-2-酮;
英文名稱 (S)-4-(4-Aminobenzyl)-2(1H)-oxazolidinone
英文別名 (S)-4-(4-Aminobenzyl)-2-oxazolidinone;ZTR 5;(S)-4-(4-Aminobenzyl)oxazolidin-2-one;(S)-4-(4-Aminobenzyl)-2(1H)-Oxazolidinone;
CAS號(hào) 152305-23-2
合成路線:
1.通過(S)-4-(4-硝基芐基)-2-噁唑烷酮合成(S)-4-(4-氨基芐基)-1,3-噁唑烷-2-酮,收率約81%;

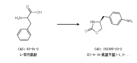
2.通過L-苯丙氨酸合成(S)-4-(4-氨基芐基)-1,3-噁唑烷-2-酮

合成路線僅供參考