基本信息:
中文名稱 高哌嗪
中文別名 1,4-二氮環(huán)庚烷/1,4-二胺基環(huán)辛烷;1,4-二氮環(huán)庚烷;
英文名稱 Homopiperazine
英文別名 Homo-Piperazines;1,4-diazacycloheptane;homopiperazine;hexahydro-4H-1,4-diazepine;tetrahydro-1,4-diazepine;hexahydro-1,4-diazepine;HOJNEYSUCKLEEXTRACT;1,4-Diazacycloheptane,2,3,4,5,6,7-Hexahydro-1H-1,4-diazepine;hexahydro-1H-1,4-diazepine;High-piperazine;HPRZ;
CAS號(hào) 505-66-8
合成路線:
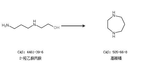
1.通過(guò)2-羥乙胺丙胺合成高哌嗪

2.通過(guò)六氫-1,4-二苯磺酰基-1H-1,4-二氮雜卓合成高哌嗪

中華試劑網(wǎng)提醒 合成路線僅供參考