基本信息:
中文名稱 1-氰基金剛烷
中文別名 1-金剛烷甲腈;1-氰基-金剛烷;金剛烷-1-甲腈;1-氰代金剛烷;
英文名稱 adamantane-1-carbonitrile
英文別名 1-Adamantyl cyanide;1-Adamantyl Cyanide;adamantyl-1-carboxylnitrile;1-Adamantanecarbonitrile;Adamantane-1-carbonitrile;1-CyanoadaMantane;1-Cyanoadamantane;F1928-0022;adamantanecarbonitrile;
CAS號 23074-42-2
合成路線:
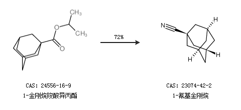
1.通過1-金剛烷羧酸異丙酯合成1-氰基金剛烷,收率約72%;

2.通過金剛烷-1-甲酸乙酯合成1-氰基金剛烷,收率約72%;

中華試劑網(wǎng)提醒:合成路線僅供參考