基本信息:
中文名稱 1-金剛烷甲酸
中文別名 1-金剛烷羧酸;金剛烷甲酸;三環(huán)[3.3.1.13,7]癸烷-1-羧酸;三環(huán)[3.3.1.1(3,7)]癸烷-1-羧酸;三環(huán)[3.3.1.1(3,7)]癸烷-1-甲酸;
英文名稱 1-Adamantanecarboxylic acid
英文別名 adamant-1-ylcarboxylic acid;1-Adamantanecarboxylicacid;adamantanecarboxylic acid;1-Adamantanecarboxylic;1-adamantylmethanoic acid;adamantylcarboxylic acid;1-Carboxyadamantane;adamantyl-1-carboxylic acid;Adamantoic acid;adamantane-1-carboxylic acid;1-ADAMANTOIC ACID;RARECHEM AQ TC 1001;
CAS號 828-51-3
合成路線:
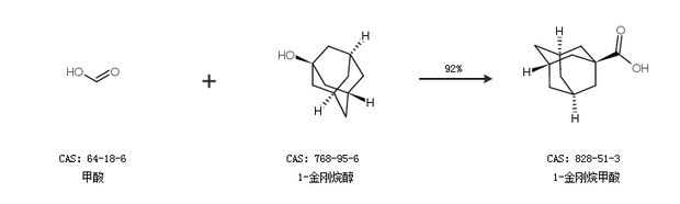
1.通過甲酸和1-金剛烷醇合成1-金剛烷甲酸,收率約92%;

2.通過金剛烷合成1-金剛烷甲酸,收率約82%;

中華試劑網提醒:合成路線僅供參考