基本信息:
中文名稱 麥芽糖一水合物
中文別名 D-(+)-麥芽糖單水合物;麥芽糖;4-O-α-D-Glucopyranosyl-D-glucose;麥芽糖一水;麥芽糖飴;
英文名稱 D-(+)-Maltose monohydrate
英文別名 D-(+)-maltose;starch sugar;maltose monohydrate;MALT SUGAR;starch syrup;MALATOSE,D;Corn sweetener;D-MALATOSE;MALTOSE H2O;
CAS號(hào) 6363-53-7
合成路線:
1.通過(guò)D-(+)-纖維二糖合成麥芽糖一水合物

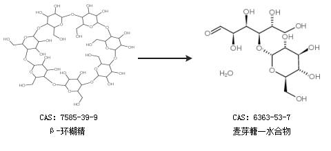
2.通過(guò)β-環(huán)糊精合成麥芽糖一水合物

合成路線僅供參考