基本信息:
中文名稱 亞硫酸氫鈉甲萘醌
中文別名 Α-甲基-1,4-萘醌亞硫酸氫鈉;維生素 K3-MSB,1,2,3,4-四氫-2-甲基-1,4-二氧代-2-萘磺酸鈉鹽;2-甲基-1,4-萘醌亞硫酸氫鈉;維生素K3;1,2,3,4-四氫-2-甲基-1,4-二氧代-2-萘磺酸鈉鹽;2-甲基-1,4-萘醌硫酸氫鈉;
英文名稱 menadione sodium sulfonate
英文別名 sodium 1,2,3,4-tetrahydro-2-methyl-1,4-dioxo-2-naphthalenesulfonate;msbc;ido-k;kawitan;2-Methyl-1,4-naphthoquinone sodium bisulfite;kalzon;hemoklot;kavitan;Menadione sodium bisulfite;sodium 2-methyl-1,2,3,4-tetrahydronaphthalene-1,4-dione-2-sulfonate;golagenk;hykinone;vikasol;klotogen;
CAS號 130-37-0
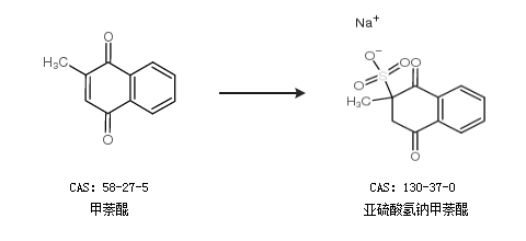
合成路線:
1.通過甲萘醌合成亞硫酸氫鈉甲萘醌

2.通過2-甲基萘合成亞硫酸氫鈉甲萘醌,收率約17%;

合成路線僅供參考