基本信息:
中文名稱(chēng) N-Cbz-L-蛋氨酸
中文別名 Cbz-L-蛋氨酸;Z-L-蛋氨酸;N-芐氧羰基-L-甲硫氨酸;N-芐氧羰基-L-蛋氨酸;Cbz-L-甲硫氨酸;芐氧羰基-L-蛋氨酸;Cbz-蛋氨酸;
英文名稱(chēng) N-Cbz-L-methionine
英文別名 N-Benzyloxycarbonyl-L-methionine;CBZ-L-METHIONINE;N-Cbz-L-Methionine;Z-L-METHIONINE;N-carbobenzoxy-L-methionine;N-benzyloxycarbonyl-DL-methionine;N-Carbobenzyloxy-L-methionine;N-(benzyloxycarbonyl)-L-methionine;Z-L-Methionine;N-Carbobenzoxy-L-methionine;Z-METHIONINE;CBZ-L-Methionine-OH;Z-MET-OH;N-Cbz-methionine;Cbz-L-Methionine;(S)-N-benzyloxycarbonylmethionine;N-CBZ-L-MET-OH;Cbz-L-Met-OH;Z-L-MET-OH;N-Carbobenzyloxy-L-methionine,Z-Met-OH;
CAS號(hào) 1152-62-1
合成路線:
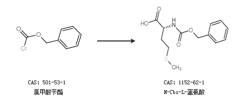
1.通過(guò)L-蛋氨酸和氯甲酸芐酯合成N-Cbz-L-蛋氨酸,收率約93%;

2.通過(guò)氯甲酸芐酯合成N-Cbz-L-蛋氨酸

合成路線僅供參考