基本信息:
中文名稱 Fmoc-N-甲基-L-纈氨酸
中文別名 芴甲氧羰酰基-N-甲基-L-纈氨酸;FMOC-N-甲基-L-纈氨酸;FMOC-N-ME-VAL-OH;N-芴甲氧羰基-N-甲基-L-纈氨酸;
英文名稱 Fmoc-Nalpha-methyl-L-valine
英文別名 (2S)-2-[9H-fluoren-9-ylmethoxycarbonyl(methyl)amino]-3-methylbutanoic acid;
CAS號(hào) 84000-11-3
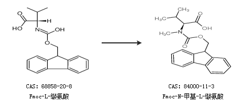
合成路線:
1.通過(guò)氯甲酸-9-芴基甲酯合成Fmoc-N-甲基-L-纈氨酸

2.通過(guò)Fmoc-L-纈氨酸合成Fmoc-N-甲基-L-纈氨酸

合成路線僅供參考