基本信息:
中文名稱 2-氨基-5-氯苯腈
中文別名 5-氯鄰氨基苯腈;5-氯鄰胺苯甲腈;2-氨基-5-氯芐腈;2-氨基-5-氯苯甲腈;
英文名稱 2-Amino-5-chlorobenzonitrile
英文別名 Benzonitrile,2-amino-5-chloro;amino(2-) 5-chloro-benzonitrile;5-chloro-anthranilonitrile;2-amino-5-chlorobenzenecarbonitrile;Anthranilonitrile,5-chloro;1-amino-2-cyano-4-chlorobenzene;2-Amino-5-chloro-benzonitrile;4-chloro-2-cyanoaniline;
CAS號(hào) 5922-60-1
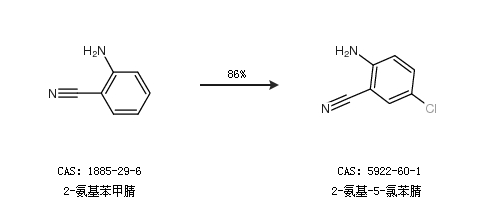
合成路線:
1.通過(guò)1-氯丁烷和2-氨基苯甲腈合成2-氨基-5-氯苯腈

2.通過(guò)2-氨基苯甲腈合成2-氨基-5-氯苯腈,收率約86%;

中華試劑網(wǎng)提醒:合成路線僅供參考