基本信息:
中文名稱 4-(N-Boc-氨基)苯硼酸
中文別名 4-(Boc-氨基)苯硼酸;4-(N-BOC-氨基)苯硼酸;
英文名稱 4-Boc-Aminophenylboronic acid
英文別名 [4-[(2-methylpropan-2-yl)oxycarbonylamino]phenyl]boronic acid;4-(Boc-amino)phenylboronic Acid;4-(N-Boc-amino)phenylboronic acid;4-(Boc-amino)benzeneboronic Acid;4-[(tert-Butoxycarbonyl)amino]benzeneboronic Acid;(4-((tert-Butoxycarbonyl)amino)phenyl)boronic acid;4-[(tert-Butoxycarbonyl)amino]phenylboronic Acid;(4-Boc-Aminophenyl)boronic acid;
CAS號 380430-49-9
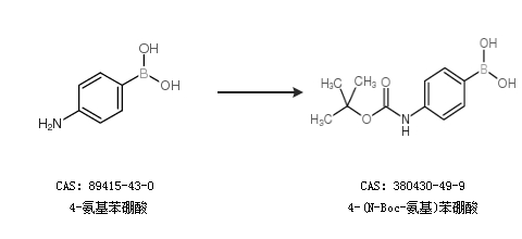
合成路線:
1.通過3-吲哚甲醛合成4-(N-Boc-氨基)苯硼酸,收率約98%;

2.通過4-氨基苯硼酸合成4-(N-Boc-氨基)苯硼酸

中華試劑網(wǎng)提醒 合成路線僅供參考