基本信息:
中文名稱 溴脲苷
中文別名 溴尿苷;5-溴去氧脲苷;5-溴-2''-脫氧尿苷;5-溴-2-脫氧尿苷(BRDU);5-溴-2`-脫氧尿核苷;5-溴尿嘧啶-2`-脫氧核苷,5-溴-2`-脫氧尿核苷;5-溴-2''-脫氧尿苷;5-BR-2''-脫氧尿苷;溴脲嘧啶苷;5-溴-2-脫氧尿苷;
英文名稱 5-bromo-2''-deoxyuridine
英文別名 ;5-bromo-1-[(2R,4S,5R)-4-hydroxy-5-(hydroxymethyl)oxolan-2-yl]pyrimidine-2,4-dione;5-BrdU,5-Bromo-1-(2-deoxy-Beta-D-ribofuranosyl)uracil5-Bromouracil deoxyriboside,BUdR;5-BrdU;BRDU;5-Bromodeoxyuridine;5-Bromo-1-(2-deoxy-Beta-D-ribofuranosyl)uracil5-Bromouracil deoxyriboside;5-Bromouracil deoxyriboside;5-Bromodesoxyuridine;Broxuridine;5-Br-2''-Udr;Bromouracil deoxyriboside;Bromodeoxyuridine;BUDR;5-BROMO-2''-DEOXYURIDINE;
CAS號 59-14-3
合成路線:
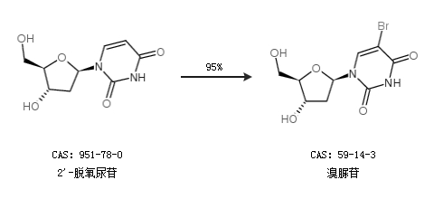
1.通過2''-脫氧尿苷合成溴脲苷,收率約95%;

2.通過5-溴尿嘧啶和2''-脫氧尿苷合成溴脲苷

中華試劑網(wǎng)提醒:合成路線僅供參考