基本信息:
中文名稱 氧化二乙酰丙酮合釩
中文別名 乙酰丙酮釩;乙酰丙酮氧釩;雙(乙酰丙酮)氧化釩(IV);雙(2,4-戊二酮酸)合氧化釩(IV);雙(2,4-戊二酮酸);
英文名稱 Vanadyl acetylacetonate
英文別名 V(IV)-oxyacetylacetonate;Vanadium(IV)-oxy acetylacetonate;vanadium di(acetylacetonate);bis(acetylacetonato)oxovanadium;VO(acac)2;vanadium(IV)oxyacetylacetonate;VANADIUMOXY ACETYLACETONATE;Vanadylacetylacetonate;Vanadyl Acetylacetonate;Bis(2,4-pentanedionato)vanadium(IV) Oxide;VANADYL ACETYLACETONE;Vanadyl(IV) acetylacetonate;Acetylacetone Vanadium(IV)oxy Salt;Vanadium(IV)oxy Acetylacetonate;VO(acac)2 (Vanadium(IV)-oxy acetylacetonate;Vanadium oxyacetoacetonate;Vanadyl acetylaceton;VANADYL PENTANEDIONATE;VANANDEYLACETYLACETONATE;VANADYL 2,4-PENTANEDIONATE;bis(acetylacetonate)oxovanadium;oxobis(2,4-pentanedionato)vanadium(IV);Vanadium(IV)oxy Acetyla;
CAS號 3153-26-2
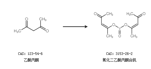
合成路線:
1.通過乙酰丙酮合成氧化二乙酰丙酮合釩,收率約87%;

2.通過乙酰丙酮合成氧化二乙酰丙酮合釩

合成路線僅供參考