基本信息:
中文名稱 乙酰丙酮鋯
中文別名 四(2,4-戊二酮)鋯;乙酰丙酮酮鋯;四(2,4-戊二酮酸)鋯(IV);
英文名稱 Zirconium(IV) Acetylacetonate
英文別名 Tetrakis(2,4-pentanedionato)zirconium(IV);Tetrakis(2,4-pentanedionato)zirconium;Zirconium(IV) acetylacetonate;2,4-Pentanedione zirconium(IV) derivative;Acetylacetone Zirconium(IV) Salt;Zirconium(IV) 2,4-pentanedionate;
CAS號(hào) 17501-44-9
合成路線:
1.通過(guò)鋯和乙酰丙酮合成乙酰丙酮鋯,收率約87%;

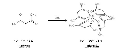
2.通過(guò)乙酰丙酮合成乙酰丙酮鋯,收率約32%;

合成路線僅供參考