基本信息:
中文名稱 葡萄糖酸鈣
中文別名 葡糖酸鈣一水合物;葡萄酸鈣一水合物;葡萄酸鈣一水合物;葡萄酸鈣;
英文名稱 Calcium gluconate
英文別名 D-gluconic acid,calcium-D gluconate;Gluconic Acid Calcium Salt;Gluconic Acid Calcium Salt Monohydrate;calglucol;dragocal;novocal;Ca-D-gluconate;Calcisan;Biocal;glucal;calcium gluconate;CalciuM Gluconate Monohydrate;calcipur;calcium D-gluconate;D-Gluconsaeure,Calcium-D-gluconat;2,3,4,5,6-Pentahydroxycaproic Acid hemicalcium salt,Gluconic acid hemicalcium salt;calcicol;D-Gluconic acid,calcium salt;D-Gluconsaeure,Calciumgluconat;ebucin;Calcium D-gluconate;kalpren;
CAS號 299-28-5
合成路線:
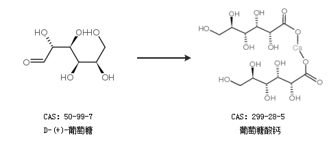
1.通過D-(+)-葡萄糖合成葡萄糖酸鈣

合成路線僅供參考