基本信息:
中文名稱 2''-脫氧鳥苷水合物
中文別名 2''-脫氧鳥苷;2’-脫氧鳥苷;去氧鳥便嘌呤核苷;2''-脫氧鳥苷(一水);2''-脫氧鳥甙;鳥嘌呤脫氧核糖核苷;9-β-D-2''-呋喃脫氧核苷鳥嘌呤;
英文名稱 2''-deoxyguanosine
英文別名 DEOXYGUANOSINE-2'';2''-DEOXY-D-GUANOSINE;deoxyguanosine;A-2''-DEOXYGUANOSINE;Desoxyguanosine;2''-Deoxyguanosine monohydrate;guaninedeoxyriboside;2''-Deoxyguanosinemonohydrate;
CAS號(hào) 961-07-9
合成路線:
1.通過2,6-二氨基嘌呤-2’-脫氧核苷合成2''-脫氧鳥苷水合物,收率約91%;

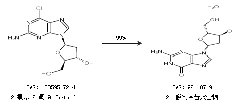
2.通過2-氨基-6-氯-9-(beta-d-2-脫氧核糖)嘌呤合成2''-脫氧鳥苷水合物,收率約99%;

合成路線僅供參考