基本信息:
中文名稱 2,6-二甲基吡嗪
中文別名 2,6-二甲基-1,4-二嗪;
英文名稱 2,6-Dimethylpyrazine
英文別名 2,6-DiMepyz;2,6-Dimethyl-1,4-diazine;2,6-Dimethylpiazine;3,5-Dimethylpyrazine;FEMA No. 3273;2,6-Dimethylparadiazine;Pyrazine,2,6-dimethyl;2,6-dimethyl-pyrazine;
CAS號(hào) 108-50-9
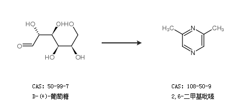
合成路線:
1.通過2,6-二氯吡嗪和甲基氯化鎂合成2,6-二甲基吡嗪,收率約49%;

2.通過D-(+)-葡萄糖合成2,6-二甲基吡嗪

中華試劑網(wǎng)提醒:合成路線僅供參考