基本信息:
中文名稱 5,6-二甲基-1,10-菲咯啉
中文別名 5,6-二甲基-1,10-菲羅啉;5,6-二甲基鄰二氮雜菲;5,6-二甲基-1,10-鄰二氮雜菲;5,6-二甲基-1,10-菲啰啉;
英文名稱 5,6-Dimethyl-1,10-phenanthroline
英文別名 5,6-dimethyl-1,1-phenanthroline;1,10-Phenanthroline,5,6-dimethyl;5,6-Me2-phen;dimethyl-5,6 phenantroline-1,10;6-dimethyl-1,10-phenanthroline;5,6-di-methyl-1,10-phenanthroline;
CAS號 3002-81-1
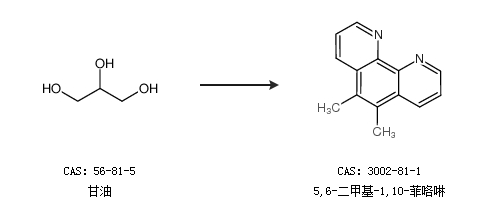
合成路線:
1.通過甘油合成5,6-二甲基-1,10-菲咯啉

合成路線僅供參考