基本信息:
中文名稱 十八氟十氫萘
中文別名 全氟(十氫化萘);全氟嘌呤;全氟(十氫化萘),CIS + TRANS;
英文名稱 perfluorodecalin
英文別名 Octadecafluorodecahydronaphthalene;PERFLUORODECALINE;perflunafene;Octadecafluorodecaline;perfluorodecahydronaphthalene;1,1,2,2,3,3,4,4,4a,5,5,6,6,7,7,8,8,8a-octadecafluorodecalin;PP 5;OCTADECAFLUORODECALIN;F-DC;PERFLUORODECALIN;pfd;Perfluoro(decahydronaphthalene);perfluorodecahydronaphthalin;
CAS號 306-94-5
合成路線:
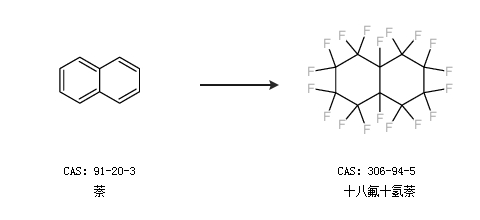
1.通過萘合成十八氟十氫萘

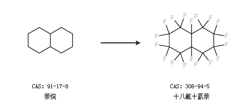
2.通過萘烷合成十八氟十氫萘

合成路線僅供參考