基本信息:
中文名稱 N-甲基高哌嗪
中文別名 1-甲基-1,4-二氮雜環(huán)庚烷鹽酸鹽;1-甲基高哌嗪;六氫-1-甲基-1H-1,4-二氮雜卓;N-甲基-1,4-二氮雜環(huán)庚烷;
英文名稱 N-Methylhomopiperazine
英文別名 N-Methyl Homopiperazine;N-methylhomopiperazine;Hexahydro-1-methyl-1H-1,4-diazepine;1-methyl-1,4-diazepane;1-Methylhomopiperazine;1-Methyl-1,4-diazepane;
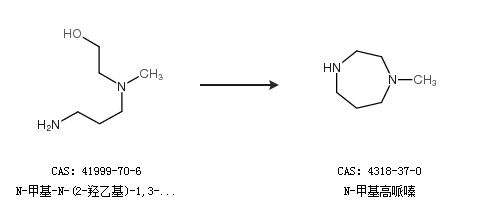
CAS號 4318-37-0
合成路線:
1.通過N-甲基-N-(2-羥乙基)-1,3-丙二胺合成N-甲基高哌嗪

中華試劑網(wǎng)提醒:合成路線僅供參考