基本信息:
中文名稱 異山梨醇
中文別名 甘寶素.氯咪巴唑.二唑丁酮;1,4:3,6-二脫水-D-葡萄糖醇;(3S,3AR,6R,6AR)-六氫-[3,2-B]呋喃-3,6-二醇;
英文名稱 Isosorbide
英文別名 dianhydro-D-sorbitol;isobide;dianhydro-D-glucitol;Isosorbid;at101;1,4:3,6-dianhydrogluticol;1,4:3,6-dianhydro-D-sorbitol;1,4:3,6-dianhydro-D-glucitol;D-ISOSORBIDE;hydronol;devicoran;IsMotic;
CAS號 652-67-5
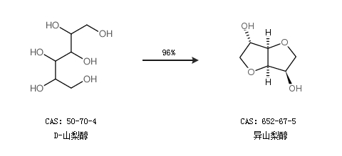
合成路線:
1.通過D-山梨醇合成異山梨醇,收率約4%;

2.通過D-山梨醇合成異山梨醇,收率約96%;

合成路線僅供參考