基本信息:
中文名稱 喹喔啉
中文別名 對二氮雜萘;喹諾西林;1,4-二氮萘;苯并吡嗪;苯并嗶嗪;
英文名稱 quinoxaline
英文別名 Phenopiazine;Quinazine;1,4-Benzodiazine;Phenpiazine;Benzoparadiazine;1,4-Diazanaphthalene;Quinoxaline;Benzopyrazine;
CAS號 91-19-0
合成路線:
1.通過1,2-苯二胺合成喹喔啉,收率約97%;

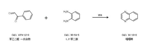
2.通過苯乙二醛 一水合物和1,2-苯二胺合成喹喔啉,收率約95%;

合成路線僅供參考