基本信息:
中文名稱 5-氯代苯并三氮唑
中文別名 5-氯苯并三氮唑;5-氯-1;5-氯苯并三唑;5-氯-1,3-硫氮雜茚;5-氯代苯并TRIAZOLE;
英文名稱 5-Chlorobenzotriazole
英文別名 6-Chloro-1H-benzotriazole;5-chloro-1h-benzotriazol;5-chloro-1H-Benzotriazole;5-Chloro-1,2,3-benzotriazole;1H-Benzotriazole,5-chloro;5-Cl-benzotriazole;5-CHLOROBENZTRIAZOLE;
CAS號 94-97-3
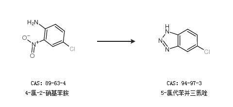
合成路線:
1.通過4-氯-1,2-苯二胺合成5-氯代苯并三氮唑,收率約85%;

2.通過4-氯-2-硝基苯胺合成5-氯代苯并三氮唑

合成路線僅供參考