基本信息:
中文名稱 3-苯基-5-異噁唑酮
中文別名 3-苯基-5(4H)-異惡唑酮;
英文名稱 3-PHENYL-5-ISOXAZOLONE
英文別名 3-PHENYL-4,5-DIHYDROISOXAZOL-5-ONE;3-Phenyl-5-isoxazolone;3-PHENYL-5-ISOXAZOLON;3-PHENYLISOXAZOL-5-ONE;3-Phenyl-5(4H)-isoxazolone;3-phenyl-4,5-dihydro-1,2-oxazol-5-one;3-Phenyl-2-isoxazolin-5-one;3-Phenylisoxazol-5(4H)-one;3-phenyl-4H-isoxazol-5-one;5(4H)-ISOXAZOLONE,3-PHENYL-;
CAS號 1076-59-1
合成路線:
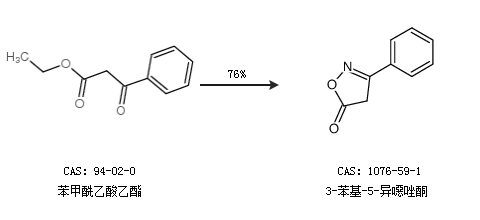
1.通過苯甲酰乙酸乙酯合成3-苯基-5-異噁唑酮,收率約76%;

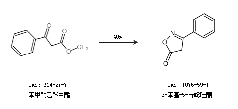
2.通過苯甲酰乙酸甲酯合成3-苯基-5-異噁唑酮,收率約40%;

中華試劑網提醒:合成路線僅供參考