基本信息:
中文名稱 1,2,3-噻重氮-4-羧酸乙酯
中文別名 1,2,3-噻二唑-4-羧酸乙酯;
英文名稱 Ethyl 1,2,3-thiadiazole-4-carboxylate
英文別名 ethyl thiadiazole-4-carboxylate;
CAS號(hào) 3989-36-4
合成路線:
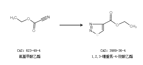
1.通過(guò)氰基甲酸乙酯合成1,2,3-噻重氮-4-羧酸乙酯

2.通過(guò)1,2,3-噻重氮-4-羧酸和乙醇合成1,2,3-噻重氮-4-羧酸乙酯

中華試劑網(wǎng)提醒:合成路線僅供參考