基本信息:
中文名稱 2-氨基噻唑-4-甲酸乙酯
中文別名 2-氨基-4-噻唑甲酸乙酯;2-氨基-噻唑-4-甲酸乙酯;2-氨基-1,3-噻唑-4-羧酸乙酯;乙基-2-氨基-1,3-噻唑-4-羧酸乙酯;氨基噻唑甲酸乙酯;2-氨基-1,3-噻唑-4-甲酸乙酯;2-氨基噻唑-4-羧酸乙酯;
英文名稱 Ethyl 2-Aminothiazole-4-carboxylate
英文別名 Ethyl 2-Amino-4-Thiazolecarboxylate;Ethyl 2-aminothiazole-4-carboxylate;Ethyl 2-amino-1,3-thiazole-4-carboxylate;
CAS號 5398-36-7
合成路線:
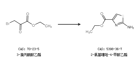
1.通過3-溴丙酮酸乙酯合成2-氨基噻唑-4-甲酸乙酯

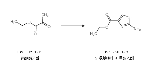
2.通過丙酮酸乙酯合成2-氨基噻唑-4-甲酸乙酯

中華試劑網(wǎng)提醒:合成路線僅供參考