基本信息:
中文名稱 二乙基二硫代氨基甲酸銅
中文別名 二乙基二硫羰氨酸銅鹽;
英文名稱 Copper Diethyldithiocarbamate
英文別名 Copper,bis(diethylcarbamodithioato-kS,kS'')-, (SP-4-1)- (9CI);Diethyldithiocarbamic Acid Copper Salt;Copper DiethyldithiocarbaMate;
CAS號 13681-87-3
合成路線:
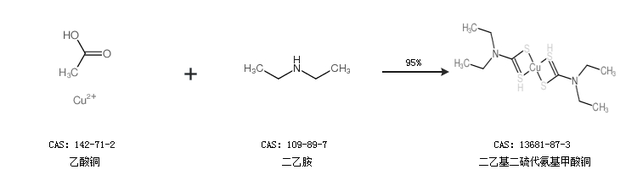
1.通過乙酸銅和二乙胺合成二乙基二硫代氨基甲酸銅,收率約95%;

2.通過二乙胺荒酸鈉合成二乙基二硫代氨基甲酸銅

合成路線僅供參考