基本信息:
中文名稱 2-溴-9,9''-螺二芴
中文別名 2-溴-9,9’-螺二芴;2-溴-9,9''-螺二[9H-芴];
英文名稱 2-Bromo-9,9''-spirobifluorene
英文別名 2-BroMo-9,9''-spirobi[9H-fluorene];2-Bromo-9,9''-spirobi[fluorene];2-bromo-9,9''-spirobi[fluorene];2-Bromo-9,9-Spirobi[9H-Fluorene];
CAS號 171408-76-7
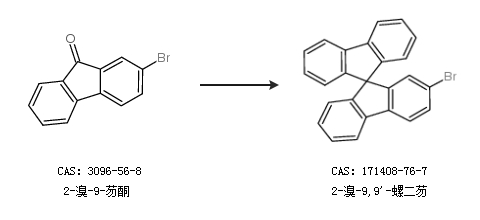
合成路線:
1.通過2-溴-9-芴酮和2-聯(lián)苯基溴化鎂合成2-溴-9,9''-螺二芴

2.通過2-溴-9-芴酮合成2-溴-9,9''-螺二芴

中華試劑網(wǎng)提醒 合成路線僅供參考