基本信息:
中文名稱 5-單硝酸異山梨酯
中文別名 單硝異山梨酯;單硝基異山梨酯;3,6-二脫水-D-山梨糖醇-5-硝酸酯;5-硝酸異山梨酯;異山梨醇5-單硝酸酯;
英文名稱 isosorbide mononitrate
英文別名 ISMN;5-ismn;Isosorbide mononitrate;Isosorbide 5-Nitrate;1,4:3,6-Dianhydro-D-glucitol 5-nitrate;IS-5-MN;Ismo;ELAN;Isosorbide 5-mononitrate;Momt;isosorbide-5-mononitrate;1,4:3,6-dianhydro-D-glucitol-5-nitrate;ahr4698;Isosorbide 5-Mononitrate;Coronu;IMDUR;isosorbide nitrate;ELANTAN;
CAS號(hào) 16051-77-7
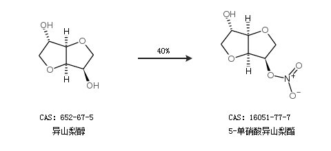
合成路線:
1.通過(guò)異山梨醇合成5-單硝酸異山梨酯,收率約40%;

2.通過(guò)硝酸異山梨酯合成5-單硝酸異山梨酯,收率約69%;

合成路線僅供參考