基本信息:
中文名稱 3,6-二叔丁基咔唑
中文別名 3,6-雙(叔丁基)咔唑;9H-咔唑,3,6-雙(1,1-二甲基乙基);
英文名稱 3,6-Di-tert-butylcarbazole
英文別名 3,6-ditert-butyl-9H-carbazole;3,6-Di-tert-butyl-9H-carbazole;3,6-BIS(TERT-BUTYL)CARBAZOLE;
CAS號 37500-95-1
合成路線:
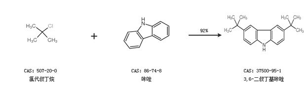
1.通過氯代叔丁烷和咔唑合成3,6-二叔丁基咔唑,收率約92%;

2.通過氯代叔丁烷、咔唑和氯化鋅合成3,6-二叔丁基咔唑,收率約44%;

中華試劑網(wǎng)提醒:合成路線僅供參考