基本信息:
中文名稱 三乙酰氧基乙基硅烷
中文別名 三乙酰氧基(乙基)硅烷;乙基三乙酰氧基硅烷;乙基硅三醇三乙酸乙酯;乙基三乙酰氧硅烷;
英文名稱 Triacetoxyethylsilane
英文別名 Ethyltriacetoxysilane;[diacetyloxy(ethyl)silyl] acetate;Triacetoxy(Ethyl)Silane;(Triacetoxy)ethylsilane;
CAS號 17689-77-9
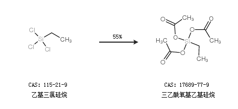
合成路線:
1.通過乙基三氯硅烷合成三乙酰氧基乙基硅烷,收率約55%;

2.通過3-二甲胺基乙基硅烷合成三乙酰氧基乙基硅烷

合成路線僅供參考