基本信息:
中文名稱 5-溴-2-甲氧基嘧啶
中文別名 2-甲氧基-5-溴嘧啶;5-溴-2-甲氧基基嘧啶;2-甲氧基-5-溴嘧啶;
英文名稱 5-Bromo-2-methoxypyrimidine
英文別名 2-methoxy-5-bromopyrimidine;Bromomethoxypyrimidine;2-Methoxy-5-brom-pyrimidin;5-BroMo-2-MethoxypyriMidine;5-bromo-2-methoxy-pyrimidine;5-BROMO-2-METHOXYPYRIMIDINE 97;
CAS號(hào) 14001-66-2
合成路線:
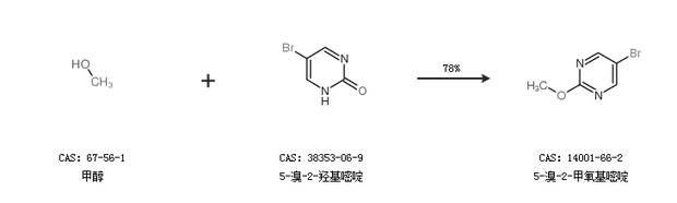
1.通過甲醇和5-溴-2-羥基嘧啶合成5-溴-2-甲氧基嘧啶,收率約78%;

2.通過甲醇和2,5-二溴嘧啶合成5-溴-2-甲氧基嘧啶,收率約81%;

合成路線僅供參考